#Android #Web

#Рефакторинг_процесса

Выпуск кредитной карты в ВТБ Онлайн

Смена позиционирования. Цифровая → Пластиковая карта

Моя роль

Я дизайнер в составе команды, которая занимается оформлением цифровых кредитных карт в ВТБ Онлайн

Каналы: web и android

Контекст

Проблема:

Клиенты не тратят деньги с кредитки.

Условные данные:

Выдали клиентам кредиток на 100млн руб. из них потратили в первые 3 месяца только 2.5млн

Главная задача

Найти причину низкой транзакционной активности и предложить решение.

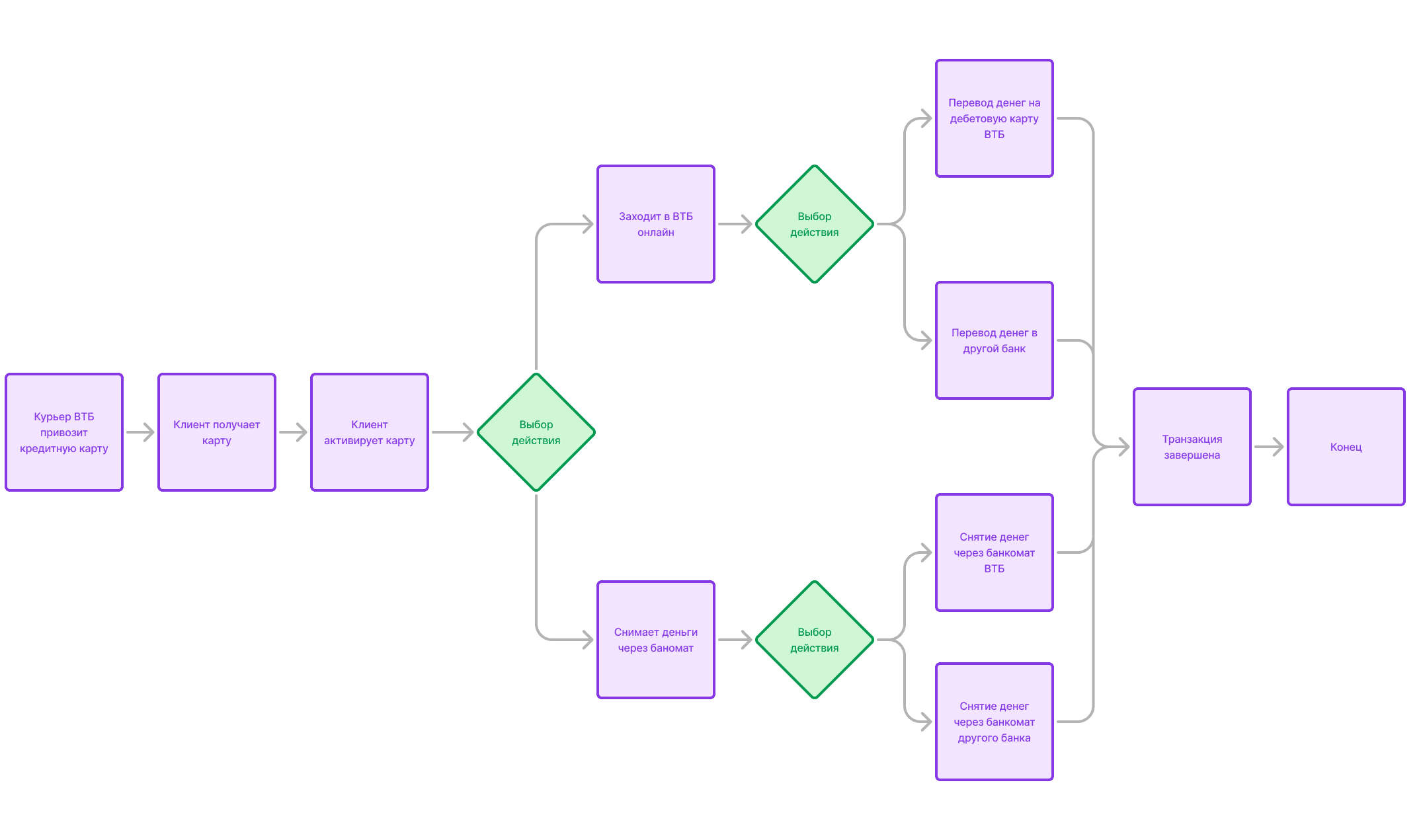
Клиентский путь «до»

Название процесса выпуск цифровой кредитной карты

Блок схема пути «до»

Страховка предлагается 2 раза + модальное окно. Требует 3 клика

Установка ПИН-код для цифровой карты является обязательной в процессе выпуска карты

Заказ пластиковой карты курьером происходит после выпуска цифровой карты как дополнительная опция

Запросил метрики и исследования

По оформленным картам

Цифровой кредиткой больше платят телефоном привязав к кошелькам или с использованием реквизитов карты?

94% - по реквизитам карты

6% - платят телефоном

Кто чаще платит? Клиенты с цифровой кредиткой, или с пластиковой картой?

Транзакционная активность
3% - у людей с цифровыми картами
30-40% - у людей с пластиком на руках

Переходят на заказ пластиковой карты курьером после выпуска цифровой карты

0,7-1.2%

Выводы

Текущая реализация доставки пластиковой карты, можно сказать, не работает.

Цифровой кредиткой пользуются крайне мало людей

Из тех кто пользуется, почти никто не использует ПИН-код

Гипотезы о решении

Сменить позиционирование на выпуск пластиковой карты

Реализация №1

Сделать курьерскую доставку неотъемлемой частью процесса

Реализация №2

Сохранить выпуск цифровой карты. Фоном. Не делать в интерфейсе акцентов на этом

Реализация №3

Убрать из процесса установку ПИН-кода для цифровой карты

Дополнительные доработки

Предложение страховки

Сделать одним экраном, без модальных окон.

Проверка данных

Сократить набор обязательных полей для подачи заявки.

Единая форма согласия (ЕФС)

Сделать проверку наличия ЕФС Чтобы предлагать тем, у кого нет, а не всем.

Что менялось

Структура адаптивного Web = структуре Android.

Мобильные устройства — 90% трафика.

Основной путь

Точки входа

Где находилась информация
о снятии наличных до обновления

Подтвердили наличие проблемы. Видео прототип.

4 из 15

Респондентов нашли информацию на тестах

9%

Клиентов которые снимали и переводили наличные

Ожидаемый результат

14 из 15

Найдут информацию менее чем за минуту

+28%

Клиенты, которые снимают и переводят деньги в первые 30 дней

Джобы

Когда____, я как клиент хочу___, что бы___

  • Когда я перевожу деньги с кредитки, я хочу быть уверен, что условия до действуют, что бы сделать перевод без комиссии

  • Когда я хочу снять деньги с банкомата, я хочу видеть сколько средств мне доступно для снятия без комиссии, чтобы не заплатить комиссию и не платить проценты

  • Когда я делаю перевод я хочу, видеть до какого числа действует акция, что бы не считать дни самому с момента открытия

  • Когда я делаю перевод, я хочу видеть, сколько денег мне осталось доступно для перевода/снятия, что бы не считать самому и попасть на комиссию

  • Когда я захожу в личный кабинет, я хочу видеть все преимущества своей кредитной карты, котор- ые ограничены по времени, на главном экране, что бы суметь ими воспользоваться и чувствовать себя финансового грамотным

«В каких ситуациях мне это важно?»

Снимаю деньги

В банкомате ВТБ
или другого банка

Делаю перевод

В ВТБ Онлайн в другой банк

Экстренная ситуация

Непредвиденные расходы: авто, здоровье и другие.

Пути пользователей

Проверить точки контакта, узнать, что указано про акцию о снятие наличных

MVP 1

Блок в деталках

Только для новых выдач

  • Дата

  • Сумма

  • Индикация доступности — наличие самого блока в деталке

MVP 2

Блок + страница

Для новых выдач + в рамках акции для старых

  • Дата

  • Сумма

  • Призыв + Кнопка перевести

Страница:

  • Снятие в банкоматах др. банков

  • Информация про СБП

  • Информация про перевод на свою дебетовую карту

  • Инфо про перевод на карту другого банка

  • Инфо о переводе на чужие банковские карты

  • Призыв + кнопка для перевода

Результаты реализация MVP 1

MVP 2 не состоялось, т.к. акция условия продукта изменили

14 из 15

Респондентов нашли информацию на тестах

+24%

Клиентов на новых выдачах кто начал снимать и переводить деньги с кредитки

Описал поведение

  • Когда кончились деньги блок остается. Не скрывается.

  • По истечению срока блок пропадает

  • Клик на блок вызывает сценарий команды переводов

Спасибо за внимание